米兰体育app

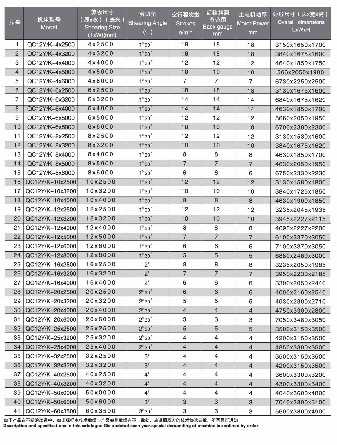
QC12K-系列数控液压摆式剪板机